Algebraic Expressions Are A Combination Of Numbers And Variables Here Are Examples Of Some Basic Algebraic Expressions Pdf Free Download
Arrow_forward We've got the study and writing resources you need for your assignments Start exploring!Show activity on this post Let x = y 3 therefore we have lim ( x, y) → ( 0, 0) x y 3 x 2 y 6 = lim y → 0 y 6 2 y 6 = 1 2 ( 1) and if we consider x = y then lim ( x, y) → ( 0, 0) x y 3 x 2 y 6 = 0 ( 2) so that from (1) and (2) we see that limit don't exits Therefore the function is not continuous Share
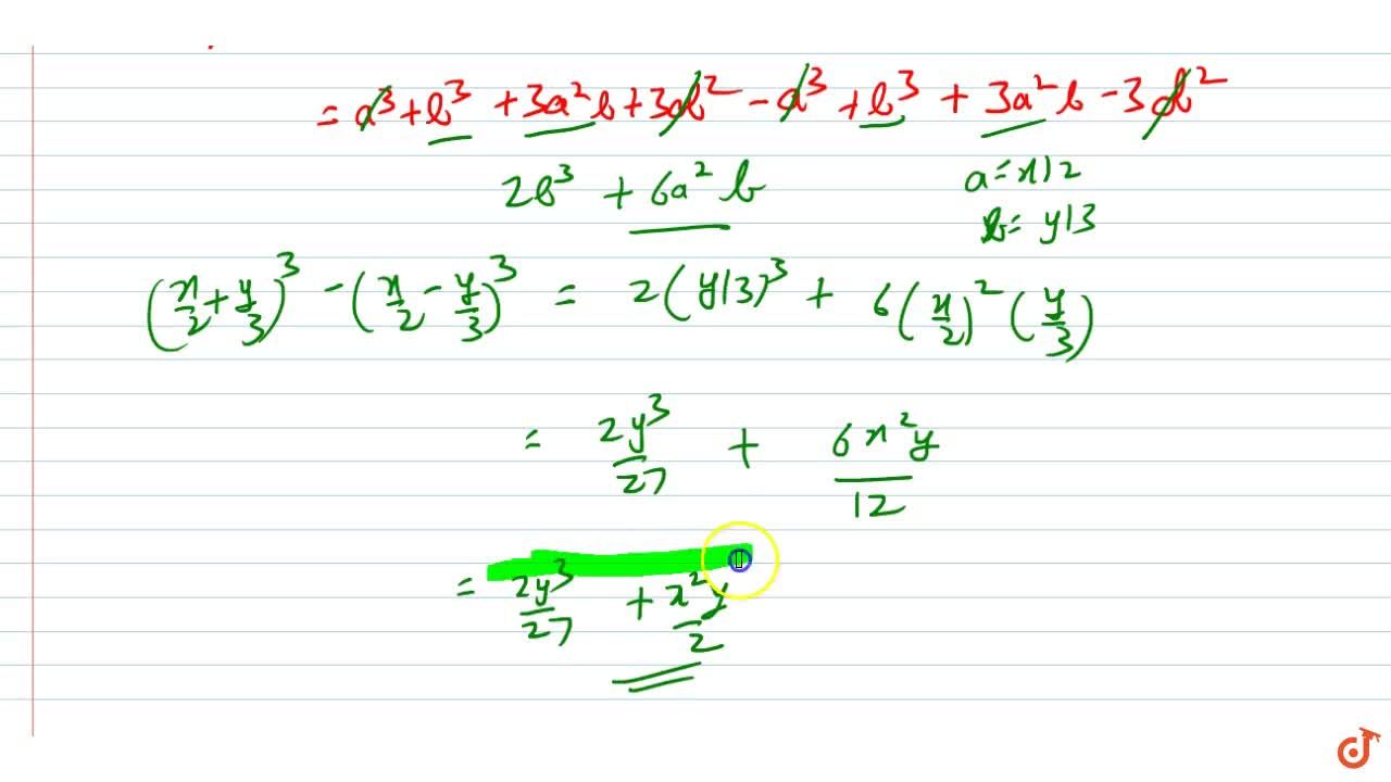
Simplify (x/2 y/3)^3-(x/2-y/3)^3
Simplify (x/2 y/3)^3-(x/2-y/3)^3-NCERT Solutions NCERT Solutions For Class 12 NCERT Solutions For Class 12 Physics;X 3 = ( y − 2) × ( y − − 2) the greatest common divisor of these factors will divide 2times the − 2 , which is lead to only finitly many cases (some cases can be shown impossible, only by the modular an congrunce arithmetic) finally we have y − 2 = ( a b − 2) 3 which lead us to the system of equations as follows
Oneclass Perform The Operations And Simplify X3 Y3 X Y Times 1 X 1 Y 1 Xy X2 Xy Y2 X
Section 43 Double Integrals over General Regions In the previous section we looked at double integrals over rectangular regions The problem with this is that most of the regions are not rectangular so we need to now look at the following double integral, ∬ D f (x,y) dA ∬ D f ( x, y) d A where D D is any regionAnswer (1 of 4) The graph of x^2(y\sqrt3{x^2})^2=1 is very interesting and is show below using desmos See the entire simplification process below First, use these rules of exponents to simplify the exponent outside the parenthesis a = a^color(red)(1) and a = a^color(red)(1) (x^2y^0z)^3 = (x^color(red)(2)y^color(red)(0)z^color(red)(1))^color(blue)(3) = x^(color(red)(2)xxcolor(blue)(3))y^(color(red)(0)xxcolor(blue)(3))z^(color(red)(1)xxcolor(blue)(3)) =
First week only $499! (x/2 y/3)^3(x/2y/3)^3 simplifyIf we assume x = 0, then the first equation says y = 2i and the second says y = 2 or two complex but not imaginary roots So x = 0 is not possible If we assume y = 0, then x = 2 Stepbystep explanation y^3 4y^2 1/4 y no x's to simplify subtract the exponents for y divide 1/4 1jaiz4 and 2 more users found this answer helpful heart outlinedUsing our same equations, y = 4x 2 24x 40 and y = 4(x 3) 2 4, we already know that the vertex is (3, 4) in both of them The first way By finding the vertex If we started with the equation y = 4x 2 24x 40 and wanted to change it to the vertex form, first, find the vertex which is (3, 4) Now, the vertex form of the equation is in the general form, y = a(x h) 2 k The value
Simplify (x/2 y/3)^3-(x/2-y/3)^3のギャラリー
各画像をクリックすると、ダウンロードまたは拡大表示できます
![]() | ![]() | |
![]() | ![]() | |
「Simplify (x/2 y/3)^3-(x/2-y/3)^3」の画像ギャラリー、詳細は各画像をクリックしてください。
![]() | ![]() | |
![]() | ![]() | |
![]() | ![]() | |
「Simplify (x/2 y/3)^3-(x/2-y/3)^3」の画像ギャラリー、詳細は各画像をクリックしてください。
![]() | ![]() | ![]() |
![]() | ||
![]() | ![]() | ![]() |
「Simplify (x/2 y/3)^3-(x/2-y/3)^3」の画像ギャラリー、詳細は各画像をクリックしてください。
![]() | ![]() | ![]() |
![]() | ![]() | |
![]() | ![]() | ![]() |
「Simplify (x/2 y/3)^3-(x/2-y/3)^3」の画像ギャラリー、詳細は各画像をクリックしてください。
![]() | ||
![]() | ![]() | |
![]() | ![]() | ![]() |
「Simplify (x/2 y/3)^3-(x/2-y/3)^3」の画像ギャラリー、詳細は各画像をクリックしてください。
![]() | ||
![]() | ![]() | ![]() |
![]() | ||
「Simplify (x/2 y/3)^3-(x/2-y/3)^3」の画像ギャラリー、詳細は各画像をクリックしてください。
![]() | ![]() | ![]() |
![]() | ![]() | |
「Simplify (x/2 y/3)^3-(x/2-y/3)^3」の画像ギャラリー、詳細は各画像をクリックしてください。
![]() | ![]() | ![]() |
![]() | ||
![]() | ![]() | ![]() |
「Simplify (x/2 y/3)^3-(x/2-y/3)^3」の画像ギャラリー、詳細は各画像をクリックしてください。
![]() | ![]() | |
![]() | ![]() | ![]() |
![]() | ![]() | |
「Simplify (x/2 y/3)^3-(x/2-y/3)^3」の画像ギャラリー、詳細は各画像をクリックしてください。
![]() | ||
![]() | ![]() | ![]() |
![]() | ![]() | |
「Simplify (x/2 y/3)^3-(x/2-y/3)^3」の画像ギャラリー、詳細は各画像をクリックしてください。
![]() | ||
![]() | ![]() | |
![]() | ![]() | |
「Simplify (x/2 y/3)^3-(x/2-y/3)^3」の画像ギャラリー、詳細は各画像をクリックしてください。
![]() | ![]() | ![]() |
![]() |
Step 1 Find the Slope (or Gradient) from 2 Points What is the slope (or gradient) of this line?3(x2) = 3x6 Example Expand x(x− y) The x outside must multiply both terms inside the brackets x(x− y) = x2 −xy Example Expand −3a2(3− b) Both terms inside the brackets must be multiplied by −3a2 −3a 2(3−b) = −9a 23a b Example Expand (x5)x Here, the brackets appear first, but the prin ciple is the same Both terms inside must be multiplied by the x outside (x5)x








































































0 件のコメント:
コメントを投稿